|
|
|
|
X
= Lcos(T) |
|
|
|
Y
= Ssin(T) |
where
T is an angle measured in radians, 0 ≤ T ≤ 2π, and L and S are
half-lengths of the long and short axes of the ellipse.
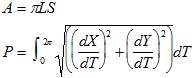
Its
area A and the perimeter P are

The derivatives of X and Y relative to T are
|
|
|
|
dX/dT
= -Lsin(T) |
|
|
|
dY/dT
= Scos(T) |
Programs
Define in parametric mode,
\X1T=Lcos(T)
\Y1T =Scos(T)
Define in function mode,
\Y1= fnInt(√(L2sin(T)2
+ S2cos(T)2),T,0,2π)
From the home screen, in parametric mode, enter the values of L and S; set the
window to ZStandard, Zsquare; GRAPH; you will see an ellipse,
|
7.5→L:5.5→S |
ENTER |
|
|
|
|
5.5 |
|
|
|
round(πLS,0)→<A /td> |
ENTER |
GRAPH |
(look carefully at the picture of your ellipse) |
|
|
130 |
CLEAR |
|
|
round(Y1)→P |
ENTER |
|
|
|
|
41.1 |
|
|
Repeat this several times to become familiar with the shapes, sizes,
perimeters, and areas of ellipses.
Draw one ellipse (which you have
displayed on your calculator) on paper, taking one centimeter as a unit and
drawing the x- and y-axes. (It is best
to use graph paper for this task!)
In order to get points (x, y), which you will connect to draw the ellipse, use
2nd TBLSET, and enter TblStart=L, ΔTbl=1