
|
x
|
x
is the independent variable |
|
y
= f(x) = x3 |
|
|
y1
= f(x1) |
|
|
y2
= f(x2) |
|
|
dx
= x2 - x1 |
change
of x from x1 to x2 |
|
dy
= y2 - y1 |
change
of y from y1 to y2 |
|
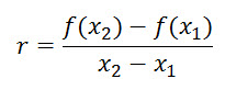
r
= dy/dx = (f(x2) - f(x1))/(x2
- x1) |
(Here
dx must be different from 0, dx ≠ 0.) |
|
x1
|
x2
|
y1
|
y2
|
dx
= x2 - x1 |
dy
= y2 - y1 |
r
= dy/dx |
|
0
|
2
|
0
|
8
|
2
|
8
|
4
|
|
.5
|
1.5
|
.125
|
3.375
|
1
|
3.25
|
3.25
|
|
0.9
|
1.1
|
.729
|
1.331
|
.2
|
.602
|
3.01
|
r = (f(x2) - f(x1))/(x2
- x1)
(x23 - x13)/(x2
- x1).
But x2 - x1 = dx
and x23 - x13
= (x22 + x2x1 + x12)
* (x2 - x1),
because a3 - b3 = (a2
+ ab + b2 )*(a - b). (You may check this yourself!)
|
So |
|
|
|
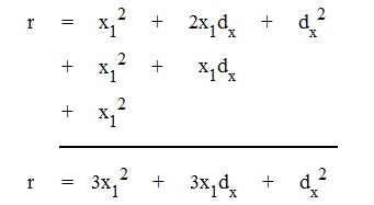
r = x22 + x2x1
+ x12, |
|
|
|
(i) |
because x2 - x1 = dx ≠
0; and since it is in the numerator and denominator of r, it can be canceled.
Now in (i) above we substitute x1 + dx for x2.
|
|
|
|
r
|
|
|
|
=
|
|
|
|
(x1
+ dx)2 + (x1 + dx)x1 +
x12, so |

|
|
|
|
|
x0 = (x1 + x2)/2 |
|
|
|
x0 is half way between x1 and x2;
|
|
So, |
|
|
|
|
|
|
|
x1 = x0 - dx/2, and x2
= x0 + dx/2. |

|
But |
|
|
|
r |
|
|
|
= |
|
|
|
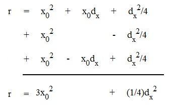
x22 + x2x1 + x12
(see (i) above). |
|
So we have |
|
|
|
|
|
|
|
|
|
|
|
|
|
|
|
|
|
r |
|
|
|
= |
|
|
|
(x0 + dx/2)2 + (x0
+ dx/2)( x0 - dx/2) + (x0 - dx/2)2
|

|
x0 |
dx |
f '(x0) = 3x02 |
r = 3x02 + (1/4)dx2 |
|
2 |
.1 |
12 |
12.0025 |
|
2 |
.01 |
12 |
12.000025 |
|
3 |
.01 |
27 |
27.000025 |
|
3 |
.001 |
27 |
27.00000025 |
When
dx is close to 0, then the rate of change r and f '(x0)
are almost equal. This is true in general, and not just for this
example. Also, x0 doesn't have to be exactly in the middle between x1
and x2.
You may wonder if the r in the example just above (call it r2) is
the same as the r in the first example above (call it r1). It
is! Here is the proof that r1 = r2:
From above, we know x1 = x0 - dx/2
and r1 = 3x12 + 3x1dx +
dx2 (iii)
and r2 = 3x02 + (1/4)dx2
We substitute x0 - dx/2 for x1 in (iii):
r1 = 3(x0 - dx/2)2 + 3(x0
- dx/2) dx + dx2
r1 = 3(x02 - x0dx + dx2/4)
+ 3x0dx - 3/2 dx2 + dx2
r1 = 3x02 - 3x0 dx +
3/4*dx2 + 3x0dx - 3/2 dx2
+ dx2
r1 = 3x02 + 3/4*dx2 +
-3/2 dx2 +dx2
r1 = 3x02 + 1 3/4*dx2 +
-3/2 dx2
r1 = 3x02 +(1/4)*dx2 = r2
General statement
The rate of change of f(x) when x changes from x1 to x0,
and the value of the derivative f '(x0), where x0
is between x1 and x2, are very close to each other when
dx = x2 - x1 is close to 0.
Remark
nDeriv, which is used by the TI-83/84 calculator, computes the numerical value
of f '(x0) by computing r for a small dx.
For details see the manual.
Final remarks
1. The mathematical concept of a derivative captures the intuitive concept of
the instantaneous rate of change that is used in physics. Its
introduction marked the creation of calculus and started the mathematical
foundations of modern science. It was first used to describe instant
velocity (velocity at a given moment) and instant acceleration,
which is the rate at which velocity changes at a given moment. One of the basic
equations of physics, discovered by Newton, states that the acceleration a of
an object is always proportional to the sum of all forces F acting on
the object, a = F/m, where the constant m is its mass.
2. When we talk about the velocity of an object, we take into consideration not
only its speed, but also the direction it is moving in space.