Slicing a Cylinder Revisited


SlicedCylinderPhoto2.jpg

Task.
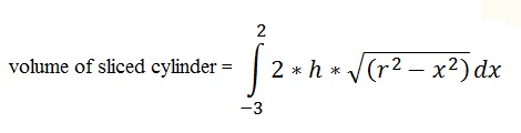
From a cylinder with radius R = 3 in. and height H = 5 in., a vertical slice of thickness 1 in. was cut off, creating a rectangular opening. Design and construct from poster board such an "open" cylinder and compute its volume using vertical slices.

TopCylinder.jpg

3DCylinder2.jpg

Equation01-fused.jpg

Can you compute the length of the remaining part of the circle that is the cylinder's base?

TopCylinderChords.jpg

In our problem, b = 1 inch and r = 3 inches.
Using the Pythagorean theorem,
(1/2 chord)2 + (r - b)2 = r2
1/2 chord = √(r2 - (r - b)2)
sin (A) = √(r2 - (r - b)2)/r       (SOH)
Solving for A,
A = sin-1(√(r2 - (r - b)2)/r)
Use the TI-83/84 to find A. From the home screen,
1→B
3→R
sin-1(√R2-(R-B)2/R)       ENTER
        48.1896851
Angle A is about 48 degrees.
The fractional part of the circumference of the circle that I removed is 2A/360. The whole circumference is 2*π*r.
So I removed 2*π*r*2A/360 = 5.046412023 inches of the circumference.
The whole circumference is 2πr =18.84955592 inches.
2πr - 5.0464120=13.8031439 inches. Now I can design my sliced cylinder .


Webpage Maintained by Owen Ramsey
Calculus Index