Perimeter of an Ellipse


We want to draw an ellipse by hand, and find the length of its perimeter.
Set your TI-84 to radian measure, and set the mode to parametric. Then press Y=, and you see
\X1T=
\Y1T=
Using parametric equations, the equation for a circle with radius r is
x = r cos t
y = r sin t, as t varies from 0 to 2π.

CircleForEllipseUnit.jpg

Squash the y-coordinate by a factor c (in the picture below, c=1/2) .

SquashedEllipse.jpg

Then we have       x = r*cos(T)
        y = c*r*sin(T)
So, if c < 1, we squash the circle, and if c > 1, we elongate it (make it taller). Here, c = 1/2, so we squash it.
      a = r = half of the long axis of the ellipse, and
      c*r = b = 1/2 r = half of the short axis.
Substituting in these values, the equation for an ellipse is
x = a cos (T)
y = b sin (T), for T changing from 0 to 2π.

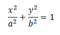
A comment for those familiar with a different equation for an ellipse:
cos2(T) + sin2(T) = 1, so

EllipseEquation.jpg

To get values for drawing your ellipse:
Change mode to DEGREE.
Choose angles, e.g., 0°, 10°, 20°, ..., 90°. (This will get points for 1/4 of an ellipse. You don't need more values because of symmetry.)
Make a list, {0, 10, 20, 30, 40, 50, 60, 70, 80, 90}→LT
Now make two more lists:
"Acos(LT)"→LX       (the quotes allow updating of the list X)
"Bsin(LT)"→LY        
Now go to STATPLOT and turn Plot1 on.
Choose the first Type. Set Xlist to X and Ylist to Y. The first mark is a good choice.
On the home screen, enter values for A and B. (We used 1.2 for A and .8 for B.)
In WINDOW, set:
Tmin=0
Tmax=360
Tstep=.2
Xmin = -1.5 (of course this depends on what value you gave A)
Xmax = 1.5
Ymin = -1 (depending on how you set B)
Ymax = 1
Set ZOOM to 5:XSquare.
Now GRAPH and you will see the 10 points on the perimeter of the ellipse.

ELLIPSE-QUARTER-GRAPH-TI84-RESIZED.JPG

(If the equals sign is highlighted under GRAPH in X1T=Acos(T) you will also see the graph of the ellipse.)

ELLIPSE-GRAPH-TI84-resized.JPG

To see the x and y coordinates on the perimeter of your ellipse, press STAT and then 1.
You should see two lists, each with 10 entries, which you may plot as 1/4 of your ellipse.

ELLIPSE-TABLE-TI84-resized.JPG


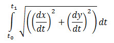
Finding the length of the ellipse.

The length of a curve from t0 to t1 is

ArcLengthEquation.jpg

Why? (We have looked at this before!) You can think of it in two ways:

(1)

ArcLengthEllipsePerimeter2.jpg

But distance = velocity*time, so velocity = distance/time, or
velocity = √(dx2+dy2)/dt
Bringing the dt inside the radical, velocity = √((dx/dt)2+(dy/dt)2)
So now revisiting the distance traveled:
distance traveled = √(dx2+dy2) = √((dx/dt)2+(dy/dt)2)*dt
Now we add:

ArcLengthEquation2.jpg

(2) A slightly different and less detailed look at length:

LineSegmentEllipsePerimeter.jpg

Approximate the curve with straight segments, and add their lengths.

In the Y= editor, enter
\X1T= Acos(T)
\Y1T= Bsin(T)
On the home screen, enter values for A and B.

After you define
\X1T=Acos(T)
\Y1T=Bcos(T)
and enter,
10→A:5→B ENTER
you may compute the perimeter of the defined ellipse in two ways.

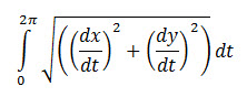
1) Set the MODE to Radian and compute,
fnInt(√(nDeriv(X
1T,T,T)2+nDeriv(
Y1T,T,T)2),T,0,2
π) ENTER
            48.44223303
2) Set the MODE to Degree and compute,
fnIint(√(nDeriv(X
1T,T,T)2+nDeriv(
Y1T,T,T)2),T,0,3
60) ENTER
            48.4422411
The results are close but not identical, and I was not able to find why they are different.
Webpage Maintained by Owen Ramsey
Calculus Index