` Area of Ellipse

Area of an ellipse (and volume of an elliptical cylinder) using calculus


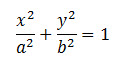
We know the formula for an ellipse with half axes is

EllipseEquation.jpg

AreaOfEllipse.jpg

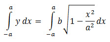
To find the area of one half of the ellipse, we integrate y from -a to a:

AreaOfEllipseEquation.jpg

To find the area of the whole ellipse, we multiply the above by 2. Now we have the area of the base of our elliptic cylinder.
Compare this result with the area formula for an ellipse with half axes a and b: Area = π*a*b. How close are the two answers?

Then to find the volume, we simply multiply our previous result (area of the base) by the height h of the elliptic cylinder.


Webpage Maintained by Owen Ramsey
Calculus Index