Shortest Road to Connect Four Houses


Shortest Road to Connect Four Houses on a Square

Question.

What is the shortest road that can be constructed to connect four houses at the corners of a square one mile on a side? Show how you solved this problem, and draw a picture with your solution.

ShortestRoadOnSquareNoDims-Revised.png

Here is a sketch of the problem.

ShortestRoadOnSquareWithDotsAndDims-Revised2.png

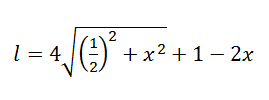
From the drawing, we want

MinimumLengthEquation.png

to be as small as possible.

One way to solve it:
We can graph Y1:
\Y1=4*√(.52+X2)+1-2X
Set WINDOW:

WINDOW-MATCHFONT.jpg

Then graph:

WINDOW-MATCHFONT.jpg

Now use CALC to find the minimum:

CALC-MATCHFONT.jpg

So the shortest road is 2.7321 miles long. The middle section, the horizontal piece, is 1-2X = .4226 miles long, and each of the 4 equal diagonal sections is about .577 mile.
What angle do the diagonal roads make with the horizontal piece? We can find this by computing 2*tan-1(.5/X) = 119.9997674 or 120 degrees.

Another way to solve it:
As before, we can enter the expression into \Y1:

\Y1=4*√(.52+X2)+1-2X

We will take the derivative of this function and set it equal to zero.
Go to SOLVER (under MATH):

EQUATION-SOLVER-MATCHFONT.jpg

Now enter a guess for X at X=, and use ALPHA SOLVE with the cursor on the line X=

Y1-SOLVED-FOR-X-REVISED-MATCHFONT.jpg

Task. Draw an accurate (to scale) map of the shortest road.

Remark. This problem can also be solved using lists. But that is a story for another time.

Variations. What is the shortest road when the houses are at the corners of a 4 mile by 6 mile rectangle? Be sure to look at the two possible orientations of the rectangle, and measure the angles. You can read more about the ubiquitous 60 degree angle by googling spanning trees.

Have fun!

Now suppose the houses are at the 4 corners of an a by b rectangle. Then there are two general formulas. One defines x as the length of the middle part of the road:

ShortestRoadOnBigXRectangleWithDotsAndDims-Revised2.png

Alternatively, we can define x as the horizontal distance between the middle part of the road and a house:

ShortestRoadOnLittleXRectangleWithDotsAndDims-Revised2.png

Click here to find a printable PDF of the Four Houses on a Square


Webpage implementation by Elizabeth K. White l last modified : March 24, 2011